纱线加捻指标及其计算-捻度和捻回角
城南二哥2021-04-13 13:36:42阻燃资讯中心1226来源:阻燃布料_阻燃面料网
假如纤维须条的一端被控持住,另一端绕自身轴线归转,即可形成纺纱线,这一过程,称为加捻。对短纤维纱来说,加捻是纺纱线获得强力及其他特性的必要手段。对长丝纱与服线来说,加捻可形成一个不易被横向外力所破坏的密切结构。加捻还可形成变形丝及花式线。加捻的多少及加捻方向不仅影响布料的手感与外观,还影响布料的内在质量。
表示纺纱线加捻程度的指标有捻度、捻归角、捻幅与捻系数。表示加捻方向的指标是捻向。
(一)捻度
单位长度的纺纱线所具有的捻归数称为捻度。纺纱线的两个截面产生一个360°的角位移,称为一个捻归,即通常所说的转一圈。捻度的单位随纺纱线的线密度不同而不同,特克斯制捻度Ttex的单位为捻/10cm,通常习惯用于棉型纺纱线;公制支数制捻度Tm的单位为捻/m,通常用来表示精梳毛纱及化纤长丝的加捻程度。粗梳毛纱的加捻程度既可用特克斯制捻度,也可用公制支数制捻度来表示。英制文数制捻度Te的单位为捻/英寸。
(二)捻归角
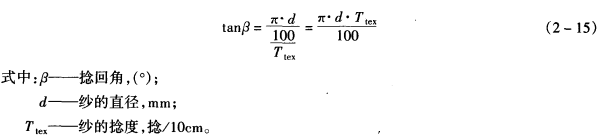
加捻前,纺纱线中纤维相互平行,加捻后,纤维发生了倾斜。纺纱线加捻程度越大,纤维倾斜就越大,因此,可以用纤维在纺纱线中倾斜角——捻归角β来表示加捻程度。捻归角β是指表层纤维和纱轴的夹角,如图2—10所示,由式(2—15)计算。

捻归角β可用来表示不同粗细纺纱线的加捻程度。两根捻度相同的纺纱线,由于粗细不同,加捻程度是不同的,粗的纤维加捻程度较大,捻归角β亦较大。捻归角直接测量需用显微镜,使用目镜相物镜测微尺来测量,既不方便又不易测难确,所以实际中需要时用式(2—15)计算。


发表评论