织物中经纬纱的屈曲波高
城南二哥2021-04-09 11:04:05阻燃资讯中心1658来源:阻燃布料_阻燃面料网
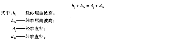
经、纬纱在布料中相互屈曲,其屈曲的程度可以用屈曲波高来描述。经、纬纱在布料中屈曲状态如同波纹一样,假设以纱的中央线为代表,我们可以得到一条波纹状曲线。这条波纹曲线的波峰到波谷之间的高度差称为屈曲波高。如图4—4所示,hj,为经纱屈曲波高,hw为纬纱屈曲波高。

由于经、纬纱在布料中是相互密切连接的,因此,一个方向的纺纱线假如伸直一些,另一个方向的纺纱线就必定要多屈曲一些。换言之,一个方向纺纱线屈曲波高减小一些,另一个方向纺纱线的屈曲波高就要增大一些。可见,经、纬纱屈曲波高之间是相互关联的。再进一步说,假如一个方向的纺纱线尽全伸直,另一个方向的纺纱线就会达到大的屈曲波高。图4—5(a)所示为经纱呈尽全伸直状态,而纬纱具有大的屈曲;图4—5(c)所示为纬纱呈尽全伸直状态,而经纱具有大的屈曲。这两种结构状态为面料中经、纬纱相互配置关系的极端状态,在实际布料中是不存在的。实际上各种布料的几何结构必然处于达两种极端状态之间,如图4—5(b)所示。
根据经纬纱屈曲波高之间的这种变幻关系,经研究,得到一条重要规律:布料中经、纬纱屈曲波高之与始终保持为一常数,且恒等于经、纬纱直径之与。这是布料几何结构中的一项重要性质,即



发表评论