阻燃资讯中心 第2779页
-
纤维性质对织物性能的影晌
1.纤维的线密度与长度 线密度与长度是纤维的两项基本性质。线密度低、长度长的纤维可以纺成细特纱,织成轻薄面料。粗纤维,不论长短只能纺成中、粗特纱,织成中厚或粗厚布料。 纤维的线密度还影响到面料的弹性、手感与耐磨性等性能。纤维细,则柔软性好,在纱条中的抱合力强,因而其纺纱线与布料的强力大,耐磨性好;纤维粗则刚度大,所织布料硬挺而弹性好。 2.纤维的拉伸性能 纤维的拉伸性能也决策布料的相应性质。面料的拉伸曲线和纤维的基本相似。拉伸曲线决策着断裂功。断裂功的大小又直接关系到布料的耐磨与断裂性能。 纤维的拉伸形变...
-
纱线结构对织物性能的影响
纺纱线结构包含纱条内部的结构、线密度、捻度和捻向等。纺纱线的结构和性质对面料性能和外观风格有着很大的影响。 AAASDFWETGD...
-
织物性能与风格形成综述
面料的性能和风格是由许多因素综合形成的,从原材料、纺纱线到布料结构以及花纹色彩、印染后整理等。布料设计时应综合运用各种手段来实现本品种所要求的性能和风格。本书仅从布料的性能和风格要求出发,综述其普通形成办法,作为品种设计时的参考。 1.面料常用性能的形成 (1)布料的轻重厚薄:面料的轻重厚薄可以运用纺纱线的粗细、密度的大小与组织的变幻来形成。纺纱线细、密度小,布料轻薄;纺纱线粗、密度大,布料就厚重。轻薄布料常用平纹、透孔、纱罗等组织;中厚布料常用斜纹、缎纹、变幻、联合等组织;厚重布料常用重组织、双层、起毛、...
-
织物几何结构
在面料内,经纱与纬纱相互交织和配置的空间关系称为布料的几何结构。 布料的几何结构在不考虑纺纱线变形的情况下,取决于纺纱线线密度、经纬纱密度与面料组织。而这些因素可以有各种不同的配合。因此布料内经、纬纱的相互关系比较复杂,面料的几何结构影响着布料的使用性能和外观风格。 AAASDFERGTRHR...
-
织物中经纬纱的屈曲波高
经、纬纱在布料中相互屈曲,其屈曲的程度可以用屈曲波高来描述。经、纬纱在布料中屈曲状态如同波纹一样,假设以纱的中央线为代表,我们可以得到一条波纹状曲线。这条波纹曲线的波峰到波谷之间的高度差称为屈曲波高。如图4—4所示,hj,为经纱屈曲波高,hw为纬纱屈曲波高。 由于经、纬纱在布料中是相互密切连接的,因此,一个方向的纺纱线假如伸直一些,另一个方向的纺纱线就必定要多屈曲一些。换言之,一个方向纺纱线屈曲波高减小一些,另一个方向纺纱线的屈曲波高就要增大一些。可见,经、纬纱屈曲波高之间是相互关联的。再进一步说,假如一个方...
-
织物的几何结构相与支持面
经、纬纱的屈曲波形是在两种极端状态之间变幻的,这种变幻对布料的性能和外观有重要影响。经、纬纱的屈曲波形在这两种极端状态之间可以延续地变幻,可以有无数种屈曲状态。但是为了便于研究与比较,需要设定一些特殊的波形状态。经、纬纱在特定波形时的几何结构状态称为面料的几何结构相,简称结构相。 这样的结构相,定义为0(零)结构相。在这种条件下的布料切面图如图4—7所示。布料的几何结构相不同或支持面不同时,其性能和风格不同。在许多传统的面料中,对应于面料的风格特征,都具有相应的几何结构相。例如,府绸或卡其等布料,都是经纱线支...
-
织物的厚度
面料的厚度是指正反两个支持表面之间的距离,如图4—8各分图中的T所示,布料的厚度是随纺纱线细度和结构相的变幻而变幻的。 AAAFSGRETEGSDFW...
-
织物的紧度
当比较两种组织相同,经、纬纺纱线密度不同的布料时,不能单用面料经、纬纱的绝对密度Pj与Pw来评定面料的密切程度,而应采纳布料的相对指标即布料的紧度来评定。 布料的经向紧度Ej纬向紧度Ew与布料总紧度E,是以面料中的经纱或纬纱的覆盖面积,或经、纬纱的总覆盖面积对布料所有面积的比值表示的。在布料组织相同的条件下,面料紧度越大,表示布料越密切。 由上述公式可见,紧度中既包含了经、纬纺纱线密度,也考虑了纺纱线直径的因素,因此能比较真实地反映经、纬纱在布料中罗列的密切程度。 各种面料,即使原材料、组织均相同,假如紧...
-
经纬同支持面紧密织物的紧度与紧密率
1.密切结构布料 布料紧度的讨论主要是在只考虑经、纬纱的投影面积,而不考虑经、纬纱交织的情况下给出的,因此,严格来说,尚不能真正代表布料中经、纬纱交错下罗列的密切程度。因为经、纬纱的相互交织阻碍了经纱或纬纱之间的相互靠拢。例如,按照紧度的概念,任何面料的经向紧度均可达到100%。但是,假如考虑到经、纬纱之间的交织,那么,100%的经向紧度并非在任何结构相都可以达到,下面以图4—10中的例子进行比较说明。在这三个图中,以经纱为例,均已达到交错和罗列的大密切状态,即经纱之间再也无法靠拢了。但可以瞧出,它们的经向紧度...
-
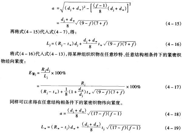
不同组织任意结构相织物的紧度与紧密率
现在研究不同组织在任意结构相条件下的密切率。 将式(4—1)代入式(4—9)中可得: 可见,这种布料为经向密切组织,而且纺纱线之间发生较多的挤压变形。 比较例1和例4还可以瞧出,即使是相同的经纬纺纱线密度、相同组织的布料,当结构相不同时,其密切布料的紧度(经向和纬向)是不相同的,即面料的可密性是不同的。 AAAVEGTRHYTJ...








