阻燃资讯中心 第2753页
-
织物缩水究竟是怎么回事?
1.面料的缩水率 布料的缩水率是指面料在清洗或浸水后,布料收缩的百分数。普通来说,缩水率小面料是合成纤维及其混纺化纤织物织品,其次是毛织品、麻织品,棉织品居中,缩水较大,而大的是粘胶纤维、人造棉、人造毛类织品。 普通织物的缩水率为: 棉4%--10%;化学纤维4%--8%;棉涤3. 5%--5 5%;本色白布为3%;毛蓝布为3-4%;府绸为3-4.5%;花布为3-3.5%;卡叽华达呢为4-5.5;斜纹布为4%;哗叽为3-4%;劳动布为10%;人造棉为10%。 2.织品产生缩水的因素: ① 面料的原料不同,缩水率不同...
-
织物设计的依据及内容
(一)设计依据和布料的要素 1.设计依据 布料设计主要分为两类,—类是理论设计,即以布料的基本要求与应用类型进行的集体设计,称基本设计。另一类是来样设计,即仿制已成对象面料的设计,称仿制设计。固然还存在前者部分地借鉴已有布料原样,或后者部分地进行组合和创新的改进设计,但基本上还是这两类中的一项。 由此可知,对理论设计而言,布料的设计依据是基本要素及设计概念;对来样设计是面料样本及其要求与特征进行设计。 2.布料的要索及概念 布料的要素涉及二方面内容:布料组织及图案、布料风格及舒适性、纤维或纺纱线构成及成型...
-
更改织物规格的设计
(一)相似布料设计的计算 所谓相似布料就是指两块布料的品种相同,手感身骨相仿,而要求更改布料的分量。这样,两块布料的原材料相同,主要工艺也相同,即可根据原布料的数据计算新面料的纱特和密度。 (二)改变面料组织的计算 在产品设计时,假如设计人员能够从已收集到的优良产品中寻到相似的布料,就可以用上述的相似布料的计算办法来解决。但是有时需要设计的新产品寻不到相似的面料,这时可利用布料的几何结构估算出新面料的近似密度,作为正式设计时的参考。 新面料与原面料的原材料相同,纱持相间,手感、身骨相似,仅要求改变面料组织。...
-
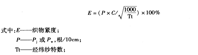
织物上机计算及成品规格计算
AAAKY,7II56U65...
-
段染纱线
段染纺纱线是指在一绞纺纱线或面料上染上两个或两个以上的不同颜色. 段染纺纱线简介 段染的纺纱线所织出来布料的风格得到根本的突破,所以深受广大消费者的青睐。 适合做段染的纺纱线有:Cotton、涤棉、腈棉、粘胶短纤长丝、聚丙烯腈纤维、人造丝、聚酯纤维丝、纯毛绒线、尼龙线、锦纶短纤长丝及各种混纺化纤织物纺纱线 可以用于做段染的染料有:活性染料、酸性染料、分散染料、涂料等。 段染纺纱线工艺 段染纺纱线可以是机械段染也可以是原始的手工段染。机械段染可以分为直接段染与间接段染两种。 工艺流程: 经纱、纬纱...
-
花式纱线
花式纺纱线是指在纺纱与制线过程中采纳特种原材料、特种设备或特种工艺对纤维或纺纱线进行加工而得到的具有特种结构与外观效应的纺纱线,是纺纱线产品中具有装饰作用的一种纺纱线。几乎全部的天然纤维与常见化纤都可以作为生产花式线的原材料, 花式纺纱线可以采纳蚕丝、榨丝、绢丝、人造丝、棉花纱线、麻纱、合纤丝、金银线、混纺化纤织物纱、人棉等作原材料。各种纤维可以单独使用,也可以相互混用,取长补短,充分发挥各自固有的特性。 花式纺纱线分类 花式纺纱线以其加工方式的不同大致可以分为以下几类:一是一般纺纱系统加工的花式线如链条线...
-
面料色彩的特性
布料运用造型美的法则和工艺技巧,将点、线、面形态综合成尽整的形象。然而,它毕竟不是纯粹的造型艺术作品,布料色彩和美术作品的色彩也打着明显的区别。布料色彩有其本身的特殊性,概述如下。 1.社会象征性 布料色彩在某种程度上强烈地反映了时代和什会风貌的特色。而作为社会中的个人,其织物颜色的选择,在受到社会道德、文化、风尚制约和影响的同时,又必定会体现他们各自的社会地位及精神面貌。因此,布料不仅是个人生活的必需品,而且,布料颜色早已成为表明其身份特点的象征性标志。 2.装饰性 织物色彩属于装饰色彩的范畴。这里,...
-
面料色彩与花型的关系
AAADF3RSEGDTHIU...
-
面料与流行色
(一)流行色的规律和研究预测 “流行色”是个外来名词,它的英文名称为fashion colour,译为合乎时代风尚的颜色.即“时髦色”。它是指在肯定的时期与地区内,产品中特别受到消费者普遍欢迎的几种或几组色彩与色调,会成为风糜一时的主销色。它存在于纺织、轻工、吃品、家具、城市建造、室内装饰等各方面的产品中,但是,反映为敏感的则首推纺织产品与工作装,它们的流行周期为短暂,变幻也快。 根据国内外流行色演变的实际情况分析,流行色的变幻周期包含四个阶段,普通分为:始发期、上升期、高潮期与消退期。整个周期过程大致历经...
-
色织物的基本特征
色面料用上色纺纱线或漂白纺纱线进行交错,利用色彩与组织的变幻织制而成。它和白坯布料及印花面料有着不同的风格。 由于色布料利用原纱上色,染料渗透性强,染色坚牢度高,而且色纱和组织配合织造后,可形成各种花型图案,因此,比普通印花布显得丰富多彩,方体感强。而且,色布料也可利用花式纺纱线做点缀或进行特殊后整理,可以形成各种独特风格的产品。促由于设备的限制,在花型与图案的设计上还不如印花布灵便、活泼、广泛,不能像印花图案那样花型尽整、形神具备。 AAAVEGTRHYTJ...





